분류 전체보기 4

[IOT] 아두이노를 활용한 음주운전 방지 자동차 기어 변속 조절장치

# 2023년 1학기 학교 수업에서  조별과제로 진행한 공동 프로젝트입니다.  참고하시거나 활용하시려면 출처를 반드시 남겨주세요!! 1. 작품 개발 목적 2023년 4월 8일 대전 서구 어린이 보호구역에서 음주운전 사고로 10살 어린이 1명이 사망하여 사회적으로 큰 파장이 일었다. 하지만 사건이 일어난 지 일주일도 되지 않은 4월 14일 오후 1시, 전국 431곳에서 주간 음주운전 단속 실시 결과, 어린이 보호구역에서 두 시간동안 55건의 음주운전이 적발되었다.[1] 또한, 경찰청의 조사에 따르면 음주운전 재범률은 마약 재범률보다 높게 나타난다.[2] 이는 사람들의 음주운전에 대한 경각심이 낮으며 단지 운이 없어서 걸렸다고 인식하는 습관적 음주운전자도 있음을 의미한다. 현재 음주운전을 방지할 여러 법안들..

Project/IOT project 2024.05.18

[디지털 통신] CH2. Formatting and Baseband Modulation

1. Formatting "Message should be compatible with digital signal"Sampling, Quantization, Pulse Coding 으로 아날로그 정보를 formatting해준다. textual information--> M-ary system으로 표현한다. 2. Sampling Theorem1) Impulse Sampling impulse와 신호를 곱해  표본을 구한다.   i) Time Domain   ii) Frequency Domain 2) Natural Sampling샘플링을 동일하게 하지 않고 다른 크기로 표본을 추출하는 것3) Nyquist CriterionUndersampling 할 경우 샘플링이 충분하지 않아서 일부 정보가 왜곡되어 나타나게..

[디지털 통신] CH1. Signals and Spectra

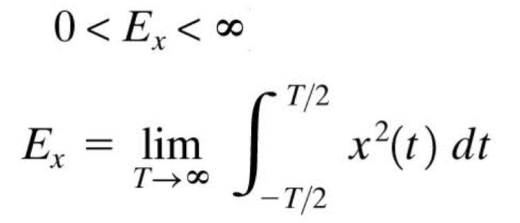
1. Classification of Signals○ Deterministic vs. Random Signal    시간을 지정하여 불확실성이 없다 -> Deterministic signal    불확실성이 있으면 Random Signal이다. ○ Periodic  vs Non-Periodic Signal    주기 T마다 신호가 반복되면 periodic signal○  Analog vs. Discrete Signal    특정 시간에만 존재하면 discrete, 연속적인 함수이면 analog signal○  Energy vs Power Signal      * Energy Signal        Finite energy but zero average power         deterministic ..

[디지털통신] 디지털 통신 개요

1. DefinitionBit: Binary Digit으로 0과 1로 표현한다.Symbol: 디지털 메시지를 의미하며 M-ary으로 표현하고 k=log2M으로 표현되며 한번에 kbits을 전송함.Baseband(기저대역)에서는 Pulse를 활용하며, Bandpass 를 위해서는 Sinusoid를 활용한다.Data Rate: bits/s으로 나타내는 전송률 Bit Rate: $\frac{1}{T} [symbol/sec]$Symbol Rate: $\frac{1}{T}*log_2M [bps]$Signal은 Analog 신호와  Digital로 구성되어 있음.Analog 신호는 uncountably infinite alphabet으로 구성되어 있고, Digital 신호는 binary digit (0,1)으로 구..