1. Formatting
"Message should be compatible with digital signal"
Sampling, Quantization, Pulse Coding 으로 아날로그 정보를 formatting해준다.
textual information--> M-ary system으로 표현한다.
2. Sampling Theorem
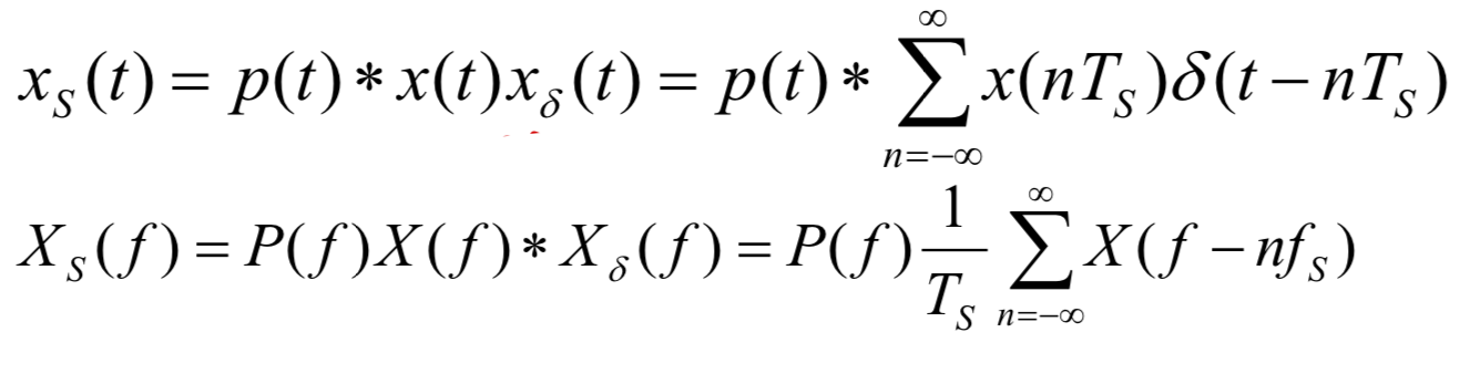
1) Impulse Sampling
impulse와 신호를 곱해 표본을 구한다.

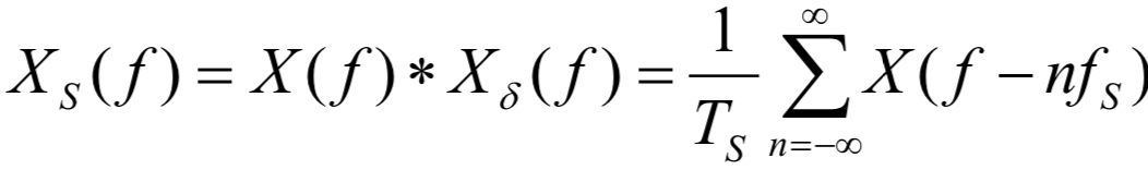
i) Time Domain


ii) Frequency Domain


2) Natural Sampling
샘플링을 동일하게 하지 않고 다른 크기로 표본을 추출하는 것

3) Nyquist Criterion

Undersampling 할 경우 샘플링이 충분하지 않아서 일부 정보가 왜곡되어 나타나게 된다. (Aliasing)
Oversampling 하면 자원 낭비되므로 적절히 샘플링하는 것이 중요하다!!
4) Sample-and-Hold
하나의 샘플을 잡아서 hold하고 반복시키는 방법

3. Quantization
Quantized pulse으로 샘플링 값을 근사시키는 과정
L-level uniform quantizer
q= Vpp/L
#Uniform Quantization (Step을 동일하게 나누는 경우)
quantization noise가 모든 신호 세기에서 동일하게 나타난다.
# Non Uniform Quantization
대부분은 안 쓰이므로 사용되는 작은 신호는 크게 큰 신호는 작게 설정하여 전반적인 SNR 향상시킨다.
4. Pulse Code Modulation (PCM)
L-level qunatizer를 l-bit binary digit으로 표현한다.

*Quantization distortion error

PCM Waveform Types

Nonreturn-to-zero (NRZ)
NRZ-L : Level을 표현 0,1을 다르게 표현한다.
NRZ-M: 1이 들어오면 신호를 뒤집음
NRZ-S: 0이 들어오면 뒤집는다.
Return-to-zero (RZ): 최종 신호는 0으로 끝나도록 함
UnipolarRZ: 극이 한개 +V
Bipolar RZ: +V -V 두 극을 활용
RZ-AMI: 1만 표현하되 1이 나올 때마다 방향을 반대로 뒤집는다.
Phase encoded (bi-phi-L) Manchester coding
Bi-phi-L: 1,0 을 모두 다 표현
Bi-phi-M
Bi-phi-S
Bandwidth Efficiency= R/W [bits/s/Hz]
M-ary Pulse-Modulation
PAM (Pulse amplitude modulation)
PPM (Pulse position modulation)
PDM (Pulse duration modulation)
'전공공부 > 디지털 통신' 카테고리의 다른 글
| [디지털 통신] CH1. Signals and Spectra (0) | 2024.04.29 |
|---|---|
| [디지털통신] 디지털 통신 개요 (0) | 2024.04.29 |